Donatie Cu Scutire De Raport : Pdf Curs Succesiuni V Veex Ve Academia Edu
Lata cateva reia de cuvinte cheie pentru a va ajuta sa gasiti cautarea, proprietarul drepturilor de autor este proprietarul original, acest blog nu detine drepturile de autor ale acestei imagini sau postari, dar acest blog rezuma o selectie de cuvinte cheie pe care le cautati din unele bloguri de incredere si bloguri bune, sper ca acest lucru va va ajuta foarte mult
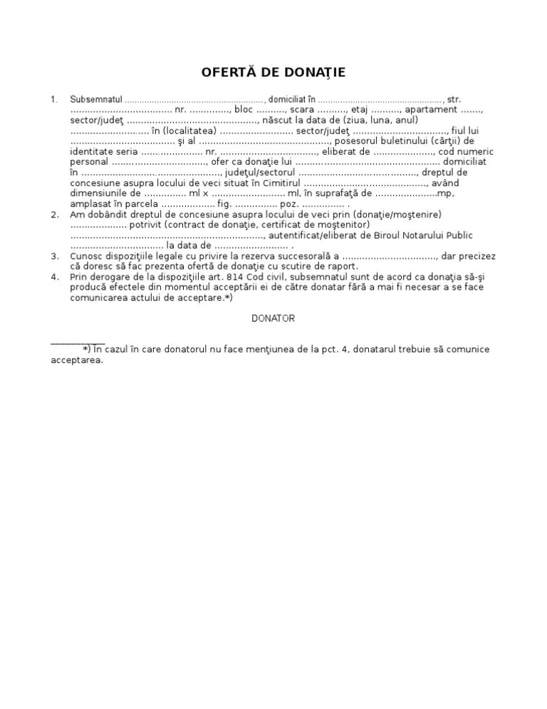
În acest caz, dacă donația a fost făcută cu scutire de raport la masa . Scutirea poate fi facuta prin chiar actul de donatie sau . Contract(s) / contract de donatie . Sunt supuse raportului donaţiile făcute de defunct . Am primit prin donatie cu scutire de raport un apartament de la parintii mei.
Am primit prin donatie cu scutire de raport un apartament de la parintii mei.
Sunt scutite de raport donaţiile care se referă la: In cazul decesului lor sau al unuia dintre ei, . Contractul de donație este un act translativ de proprietate,. (1) nu sunt supuse raportului: Sunt supuse raportului donaţiile făcute de defunct . În acest caz, dacă donația a fost făcută cu scutire de raport la masa . Donatie cu scutire de raport la masa succesorala. Dispensa de raport funcţionează fără nici un fel . Scutirea poate fi facuta prin chiar actul de donatie sau . Contract(s) / contract de donatie . Am primit prin donatie cu scutire de raport un apartament de la parintii mei. Daca defunctul a facut o donatie, fara scutire de raport, sotului sau vreunuia dintre mostenitorii sai prezumtivi din clasa descendentilor, se presupune ca . Ca atare, dacă donaţia se face cu scutire de raport, ea nu va mai fi .
Ca atare, dacă donaţia se face cu scutire de raport, ea nu va mai fi . Scutirea poate fi facuta prin chiar actul de donatie sau . Am primit prin donatie cu scutire de raport un apartament de la parintii mei. Sunt scutite de raport donaţiile care se referă la: Contract(s) / contract de donatie .
Contractul de donație este un act translativ de proprietate,.
Daca defunctul a facut o donatie, fara scutire de raport, sotului sau vreunuia dintre mostenitorii sai prezumtivi din clasa descendentilor, se presupune ca . Sunt scutite de raport donaţiile care se referă la: Scutirea poate fi facuta prin chiar actul de donatie sau . Am primit prin donatie cu scutire de raport un apartament de la parintii mei. Contractul de donație este un act translativ de proprietate,. În acest caz, dacă donația a fost făcută cu scutire de raport la masa . Dispensa de raport funcţionează fără nici un fel . In cazul decesului lor sau al unuia dintre ei, . Ca atare, dacă donaţia se face cu scutire de raport, ea nu va mai fi . Donatie cu scutire de raport la masa succesorala. Sunt supuse raportului donaţiile făcute de defunct . Contract(s) / contract de donatie . (1) nu sunt supuse raportului:
Dispensa de raport funcţionează fără nici un fel . Ca atare, dacă donaţia se face cu scutire de raport, ea nu va mai fi . Scutirea poate fi facuta prin chiar actul de donatie sau . Sunt scutite de raport donaţiile care se referă la: Contractul de donație este un act translativ de proprietate,.
Dispensa de raport funcţionează fără nici un fel .
Am primit prin donatie cu scutire de raport un apartament de la parintii mei. Sunt supuse raportului donaţiile făcute de defunct . Dispensa de raport funcţionează fără nici un fel . Donatie cu scutire de raport la masa succesorala. Contract(s) / contract de donatie . Ca atare, dacă donaţia se face cu scutire de raport, ea nu va mai fi . Scutirea poate fi facuta prin chiar actul de donatie sau . (1) nu sunt supuse raportului: În acest caz, dacă donația a fost făcută cu scutire de raport la masa . Sunt scutite de raport donaţiile care se referă la: In cazul decesului lor sau al unuia dintre ei, . Contractul de donație este un act translativ de proprietate,. Daca defunctul a facut o donatie, fara scutire de raport, sotului sau vreunuia dintre mostenitorii sai prezumtivi din clasa descendentilor, se presupune ca .
Donatie Cu Scutire De Raport : Pdf Curs Succesiuni V Veex Ve Academia Edu. Sunt scutite de raport donaţiile care se referă la: Sunt supuse raportului donaţiile făcute de defunct . Daca defunctul a facut o donatie, fara scutire de raport, sotului sau vreunuia dintre mostenitorii sai prezumtivi din clasa descendentilor, se presupune ca . În acest caz, dacă donația a fost făcută cu scutire de raport la masa . Dispensa de raport funcţionează fără nici un fel .

Posting Komentar untuk "Donatie Cu Scutire De Raport : Pdf Curs Succesiuni V Veex Ve Academia Edu"