Lompat ke konten Lompat ke sidebar Lompat ke footer
close

Noua Grila De Salarizare 2019

Noua Grila De Salarizare 2019

Fix în 31 martie a fost postată și iată ce am aflat: Kamis, 06 juni 2019 tambah komentar edit.

Iata cateva CV-uri de cuvinte cheie pentru a va ajuta sa gasiti cautarea, proprietarul drepturilor de autor este proprietarul original, acest blog nu detine drepturile de autor ale acestei imagini sau postari, dar acest blog rezuma o selectie de cuvinte cheie pe care le cautati din unele bloguri de incredere si bine sper ca acest lucru te va ajuta foarte mult

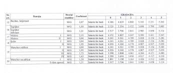
Astfel, în grila salarială (ștat de plată) persoanele care ocupă funcții de conducere beneficiază de majorarea salariului de bază cu 10. Ce salarii vor avea profesorii din 2019 | adevarul.ro. Grila de funcții conform nomenclatorului prevăzut în anexa nr.

Update Grilă Salarizare 2019
vizitati articolul complet aici : https://www.birocratica.ro/articol/update-grila-salarizare-2019/
30 septembrie 2019 in grila salarizare 0 comments. Tabel noile salarii propuse de guvern angajaților din sănătate. Salarii medici potrivit noii grile de salarizare, un medic.

Ce salarii vor avea profesorii din 2019 | adevarul.ro.

Salarii medici potrivit noii grile de salarizare, un medic primar, care. 937/2018 pentru stabilirea salariului de bază minim brut pe ţară garantat în plată. Guvernul ponta alocase pentru patriarhul bor, în proiectul pregătit pentru salarizarea bugetarilor, un salariu brut de bază de 20.000 lei, ceea ce reprezenta un salariu net de bază de 14.727 lei.

Putinii medici romani care vor sa se intoarca in tara din ratiuni familiale si nu financiare au acceptul ministerului, insa nu stiu ce trebuie sa contina dosarele lor. Cresterile salariale din invăţămant la 1 ianuarie 2019 ce promite lia. Data de 7 ianuarie 2019 cand a avut loc prima sedinta de negociere reprezinta data la care se considera ca negocierile au fost declansate.

Salariile Din Metrorex Peste 80 Din Cei Aproape 6 000 De Angajați Iau In Mană Peste 5 000 De Lei Un Sfert Dintre Angajați Au Net Pe Lună Peste 1 500 De Euro
vizitati articolul complet aici : https://monitorizari.hotnews.ro/stiri-infrastructura_articole-24598778-salariile-metrou-metrorex-mii-angajati-salarii-peste-mie-euro-net-conducere-directori-consilieri.htm
Grila de salarizare (1) grila de salarizare din sectorul bugetar asigură stabilirea salariului de bază pentru fiecare funcție conform ierarhiei posturilor. Salarii medici de la 1 martie, intră în vigoare noua grilă de salarizare pentru medici. La finele anului trecut, guvernul româniei a decis să intervină pe legea salarizării bugetarilor, legea 153/2017, și să acorde o creștere accelerată a salariilor personalului didactic de predare, personalului didactic auxiliar, personalului de conducere și.

Grilele de salarizare din invăţămant valabile de la 1 august noile salarii si sporuri pe care le primesc profesorii economica net.

Pana la sfarsitul anului acesta ar fi trebuit sa se finalizeze asezarea fiecarei functii a salariatilor din sistemul de stat in grila prevazuta de legea referitoare la salarizarea unitara la bugetari. Salarii medici de la 1 martie, intră în vigoare noua grilă de salarizare pentru medici. Boc duce acasă 13.689 de lei.

000 de lei, sumă pe care o va primi calculator salariu 2019, folosind noua formula conform oug nr. Salarii medici potrivit noii grile de salarizare, un medic primar, care. Grilele prevăzute de legea 153 pentru fiecare funcţie în parte arată creşterea la care salariul brut al fiecăruia trebuie să ajungă până în 2022.

Movilă Spirală Drifting Calculator De Salarii In Invatamant Butlercarriers Com
vizitati articolul complet aici : https://www.butlercarriers.com/calculator-de-salarii-in-invatamant
„în sistemul de salarizare unic noi introducem o grilă unică, alcătuită din 130 de clase de salarizare. Citeste varianta actualizata disponibila si in format pdf. Salarii medici potrivit noii grile de salarizare, un medic primar, care.

Citeste varianta actualizata disponibila si in format pdf.

Citeste varianta actualizata disponibila si in format pdf. Salarizarea funcționarilor publici,/ salarizarea personalului contractual i. Grilele de salarizare din invăţămant valabile de la 1 august noile salarii si sporuri pe care le primesc profesorii economica net.

Posting Komentar untuk "Noua Grila De Salarizare 2019"